Notice
Recent Posts
Recent Comments
Link
| 일 | 월 | 화 | 수 | 목 | 금 | 토 |
|---|---|---|---|---|---|---|
| 1 | 2 | 3 | ||||
| 4 | 5 | 6 | 7 | 8 | 9 | 10 |
| 11 | 12 | 13 | 14 | 15 | 16 | 17 |
| 18 | 19 | 20 | 21 | 22 | 23 | 24 |
| 25 | 26 | 27 | 28 | 29 | 30 | 31 |
Tags
- function
- 프로그래머스
- java
- 정처기필기
- 정보처리기사
- 어노테이션
- CRUD
- 정처기
- 정처기설명
- 자바
- PYTHON
- 이것이자바다
- 자바의정석
- 파이썬
- 소프트웨어개발
- 스프링부트
- spring
- CRUD구현
- 파이선
- 정보처리기사필기
- 게시판
- 자바의정석요약
- 정처기예상문제
- 게시판만들기
- 코딩테스트
- 소프트웨어설계
- 게시판프로젝트
- 스프링
- springboot
- 정처기공부
Archives
- Today
- Total
Helmi
자바의 정석 ch2 (10-11) 기본형과 참조형, 기본형의 종류와 범위 본문

ch2-10 기본형과 참조형


기본형 8가지 제외가 다 참조형.
참조형은 무한개. 사용자가 새로 만들 수 있음. 객체의 주소를 저장함
ch2- 11 기본형의 종류와 범위
|
논리형
|
true/false, 조건식, 논리적 계산에 사용 (boolean_1byte(8bit))
|
|
문자형
|
char(2byte), 문자 저장, 변수당 1개 문자만 저장 가능
(여러문자 : string)
|
|
정수형
|
정수값 저장. 주로 int(4), long(8)
byte(1) - 이전 데이터 다루는데 사용
short - c언어와 호환 위해 (짤 안씀)
|
|
실수형
|
실수 값 저장. - float(4) & double(8)
|
n 비트로 표현 가능한 부호없는 정수의 범위 = (0 포함하므로)

n비트로 표현 가능한 부호 있는 정수의 범위 =

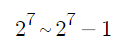
ex) 8비트 (n=8)

=범위 : -128~127
'JAVA > Java의 정석' 카테고리의 다른 글
| 자바의 정석 ch2 (14-17) 화면 입력 받기, 오버플로우, 타입간 변환방법 (0) | 2023.03.20 |
|---|---|
| 자바의 정석ch2 (12,13) printf를 이용한 출력 (0) | 2023.03.19 |
| 자바의 정석 ch2 (7-9) 문자, 문자열 리터럴, 문자열 결합 / 두 변수 바꾸기 (0) | 2023.03.17 |
| 자바의 정석 ch2 (5-6) 상수와 리터럴, 리터럴 타입과 접미사 (1) | 2023.03.16 |
| 자바의 정석 ch2 (4) 변수의 타입 (0) | 2023.03.15 |